Para começarmos, precisamos entender o que é uma curva em voo. Quando um avião realiza uma curva, ele muda sua direção através da inclinação das asas, ou seja, alterando o ângulo de inclinação (bank angle). Diferentemente do movimento em linha reta, onde o avião se desloca em direção horizontal, durante uma curva o avião está voando em um arco, ou seja, em um movimento circular.
Entender como as forças aerodinâmicas atuam no voo em curva é crucial, devido a isso, vamos falar agora sobre como essas forças atuam em um voo em curva:
- Sustentação (Lift): Quando o avião inclina, a força de sustentação, que normalmente age perpendicularmente às asas para sustentar o peso da aeronave, é dividida em duas componentes: uma vertical (Fw), que contrabalança a gravidade, e uma horizontal (Fc), que gera a força centrípeta necessária para realizar a curva.
- Peso (Weight): O peso sempre atua para baixo, em direção ao centro da Terra.
- Força Centrípeta (Fc): Para que a aeronave faça uma curva, é necessária uma força centrípeta, que é gerada pela componente horizontal da sustentação. Sem essa força, o avião não conseguiria alterar sua trajetória para voar em um arco.
- Arrasto (Drag) e Empuxo (Thrust): O arrasto tende a aumentar durante uma curva devido à maior inclinação das asas, exigindo mais empuxo do motor para manter a velocidade.”

Uma observação importante é que a sustentação numa curva deve ser maior do que o peso do avião.
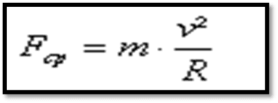
A força centrípeta aumenta com a massa e a velocidade do corpo, e diminui com o raio da curva. Conforme podemos ver na formula:

Ângulo de inclinação
Para executar uma curva, o piloto inclina as asas. O ângulo de inclinação (bank angle) é o fator principal que determina o raio da curva. Quanto maior o ângulo de inclinação, maior deverá ser a velocidade e consequentemente a tração, e isso acontece devido ao aumento do arrasto gerado pelo a grande inclinação das asas.

Mais inclinação com velocidades iguais
Ainda falando de inclinação, quanto maior o ângulo de inclinação, menor será o raio da curva, mas isso também aumenta a carga sobre a aeronave. Falaremos mais a frente nesse curso sobre as cargas dinâmicas e voltaremos a falar sobre como o voo em curva afeta a carga sobre as asas.

O peso não influencia no ângulo de inclinação das asas. Um avião mais pesado deverá ter mais sustentação através do ângulo de ataque e potência, mas a inclinação da asa será a mesma.
Raio limite
Para voar em curva, o piloto deverá inclinar as asas e aumentar a sustentação, mas com isso aumenta também o arrasto, obrigando-o a aumentar a potência. Quanto menor o raio da curva, mais potência será necessária.
O menor raio possível é aquele em que a potência aplicada é a máxima e esse raio chama-se: raio limite.

A altitude também influencia no raio limite, ao nível do mar o ar é denso, tornando a potência do motor maior e consequentemente aumentando a sustentação do avião. A curva pode ser então bem fechada e o raio limite será o mínimo.
Aumentando a altitude, a densidade do ar diminui. Isso fará o motor perder potência e ao mesmo tempo o avião necessitará de mais potência. Em consequência disso o avião perderá a capacidade de fazer curvas e o raio limite irá aumentar. Quando atingir o teto absoluto, o motor terá tão pouca potência que o avião fica totalmente incapaz de executar curvas.

Agora vamos falar agora sobre como varia a sustentação em uma curva conforme se altera a inclinação.
Para entender isso precisamos primeiro entender a seguinte afirmação.
Quanto maior for a inclinação maior será a sustentação necessária
Isso acontece devido ao aumento da força centrípeta. A força centrípeta é influenciada diretamente pela ação do raio da curva. Quando o raio diminui a força centrípeta aumenta.
Podemos comprovar isso analisando a fórmula dessa força abaixo. Vemos claramente que a força centrípeta age de maneira inversamente proporcional ao raio da curva. Dessa forma, vamos imagina as seguintes situações.

Quanto mais inclinada as asas, maior deverá ser a sustentação devido ao aumento da força centripeta.
Quanto menor a inclinação das asas, menor deverá ser a sustentação devido a diminuição da força centrípeta.

Na figura temos um avião efetuando uma curva de 60°, para manter esse voo a sustentação deve ser o dobro do peso. Com isso, percebemos que quanto maior a inclinação maior deve ser a sustentação.
Um avião não pode fazer curvas inclinadas além de um determinado limite, pois a sustentação necessária seria maior que suas possibilidades. A figura abaixo mostra a desproporção entre a sustentação e o peso.




Podemos então concluir que uma curva com inclinação de 90° é impossível, porque a sustentação teria que ser infinitamente grande. Porem, “Algumas aeronaves com excesso de potência são capazes de realizar curvas nesse ângulo.” Como as aeronaves de acrobacia e os caças.
Derrapagem e Glissagem dois erros de pilotagem
“Para que uma curva seja executada corretamente, ela precisa ser uma curva coordenada. Isso significa que a aeronave deve usar a quantidade adequada de leme para evitar erros de curva como a curva derrapada ou a curva glissada.

Curva coordenada: É a curva plana feita corretamente a uma altura constante, com os ailerons, leme e profundor dosados nas proporções exatas e o avião alinhado com a trajetória.

Curva derrapada: Ocorre quando falta leme, resultando em um movimento excessivo para o lado da curva. Aqui, a ponta do nariz da aeronave aponta para dentro da curva.

Curva glissada: Ocorre quando há excesso de leme, resultando em um movimento para o lado contrário à curva. A ponta do nariz da aeronave aponta para fora da curva.

Comandando um voo em curva
“Para realizar uma curva corretamente, siga este passo a passo:
- Inclinação das Asas: Use o manche para inclinar o avião. Ao inclinar as asas, a aeronave começará a virar na direção desejada.
- Aplicar Leme: Use o leme para coordenar a curva e evitar derrapagens ou glissagens. O leme deve ser aplicado suavemente.
- Manter Altitude: Durante a curva, o ângulo de inclinação fará com que parte da sustentação seja direcionada horizontalmente. Isso pode fazer a aeronave perder altitude. Para evitar isso, aumente o ângulo de ataque, puxando o manche levemente.
- Ajustar Potência: O aumento do arrasto durante uma curva pode fazer a aeronave perder velocidade. Portanto, pode ser necessário aumentar o empuxo para manter a velocidade desejada.”

Estol em curva
Depois que a curva é iniciada, a asa externa estará um pouco mais rápida do que a asas interna. Por isso a sustentação será um pouco maior na asa externa, isso tende a aumentar demasiadamente a inclinação das asas. Para compensar esse efeito, o piloto deve reduzir ou mesmo aplicar aileron levemente no sentido contrário a curva.
Como foi visto essa diferença gera uma tendência em acentuar a curva, obrigando o piloto a aplicar aileron contrário para compensar essa tendência. Com essa aplicação contrária de aileron, a asa mais baixa (com sustentação menor) passa a ter o aileron defletido para baixo aumentando o ângulo de ataque nessa parte da asa.
Se o ângulo crítico for ultrapassado ocorrerá um stol de ponta de asa. Dessa forma teremos na mesma asa uma parte gerando sustentação e outra estolada, provocando um rolamento abrupto e uma possível entrada em parafuso.

VELOCIDADE DE STOL
Uma das situações mais perigosas durante o voo em curva, sem dúvida, é o estol (stall). Além do motivo mencionado anteriormente, durante as curvas, a velocidade de estol é maior do que em voo reto e nivelado, devido ao aumento do fator de carga. Quanto maior o ângulo de inclinação, maior será a velocidade de estol. Isso significa que o piloto precisa estar atento para não reduzir demais a velocidade em curvas acentuadas.
Por exemplo, se a velocidade de estol em voo nivelado é de 60 nós, a uma inclinação de 45°, a velocidade de estol aumentará para cerca de 70 nós. Portanto, ao realizar curvas, especialmente em altitudes mais baixas, o piloto deve monitorar de perto a velocidade para evitar o estol, que pode ser difícil de recuperar se ocorrer próximo ao solo.
Afirmar que uma aeronave vai entrar em stol somente em baixa velocidade não é correto. Vimos que uma aeronave entra em stol quando é ultrapassado o seu ângulo de ataque crítico. O incremento desse ângulo de forma brusca, por exemplo numa recuperação de um mergulho, mesmo em alta velocidade pode causar o stol.
Num voo em curva para se manter o voo nivelado é necessária mais sustentação que o voo horizontal, dessa forma o piloto mantém o manche cabrado. Aumentando assim o seu ângulo de ataque. Quando mais inclinada a curva, mais sustentação é necessária e consequentemente um ângulo de ataque maior, aumentando assim a velocidade de stol.

Guinada adversa
A guinada adversa é um fenômeno aerodinâmico que ocorre durante o movimento de rotação de uma aeronave em torno de seu eixo longitudinal (rolagem). Esse comportamento está diretamente relacionado à diferença de sustentação e arrasto entre as asas durante uma curva, sendo um ponto crucial para a compreensão da teoria de voo e para a pilotagem segura.

Quando o piloto comanda uma curva utilizando os ailerons, a asa do lado externo à curva aumenta seu ângulo de ataque, gerando maior sustentação para inclinar o avião na direção desejada. Simultaneamente, a asa do lado interno reduz seu ângulo de ataque, diminuindo a sustentação. No entanto, o aumento da sustentação na asa externa vem acompanhado de um aumento proporcional no arrasto induzido. Esse arrasto adicional faz com que a asa externa se mova mais lentamente em relação à asa interna, gerando uma tendência do nariz da aeronave a guinar na direção oposta à curva comandada. Este movimento indesejado é o que chamamos de guinada adversa.
Exemplificação Prática
Se o piloto desejar fazer uma curva para a direita, acionando os ailerons para inclinar a aeronave nessa direção, a asa esquerda (externa) produzirá mais sustentação e arrasto. Por sua vez, a asa direita (interna) produzirá menos sustentação e arrasto. Como resultado, a cauda da aeronave será desviada ligeiramente para a esquerda, enquanto o nariz tenderá a apontar para a esquerda, contrário ao comando do piloto.
Compensação da Guinada Adversa
Para evitar ou minimizar a guinada adversa, os pilotos utilizam o leme, que controla a guinada ao longo do eixo vertical da aeronave. Ao aplicar uma pressão coordenada nos pedais do leme na direção da curva desejada, o piloto compensa o movimento adverso, mantendo o nariz da aeronave alinhado com o arco da curva.
Além disso, aviões modernos, especialmente aqueles equipados com sistemas de controle fly-by-wire, podem ter dispositivos automáticos que corrigem a guinada adversa sem necessidade de intervenção do piloto. Em aeronaves mais simples, no entanto, a coordenação manual entre o manche e os pedais continua sendo uma habilidade essencial para um voo eficiente e seguro.
O uso de ailerons diferenciais ou ailerons do tipo frise são artifícios utilizados para compensação do arrasto adicional da asa externa da curva.
